400-003-8066

羞羞APP大全案例分析

您所在的位置: 首頁 > 資訊頻道 > 設計規範 > 在线免费观看羞羞视频場館 > 在线免费观看羞羞视频場館聲學設計及測量規程JGJ/T 131-2012 備案號J 42-2012

在线免费观看羞羞视频場館聲學設計及測量規程JGJ/T 131-2012 備案號J 42-2012

來源:ZOBO羞羞APP大全 發布日期 2022-10-27 瀏覽:

  因篇幅有限請到資料下載 下載完整文件。

  還可以了解更多關於會議室解決方案、產品和案例 等信息。

  還可以了解更多關於在线免费观看羞羞视频場館解決方案、產品和案例 等信息。

  還可以了解更多關於劇場成人羞羞国产视频解決方案、產品和案例 等信息。

  還可以了解更多關於學校教育 解決方案、產品和案例 等信息。


前 言

  根據住房和城鄉建設部《關於印發<2009年工程建設標準規範製訂、修訂計劃>的通知》(建標[2009]88號)的要求,規程編製組經廣泛調查研究、認真總結實踐經驗、參考有關標準和國外標準,並在廣泛征求意見的基礎上,修訂本規程。

  本規程的主要技術內容是:總則;建築聲學設計;噪聲控製;擴聲係統設計;聲學測量等。

  本規程修訂的主要內容是:

  1.增加了對在线免费观看羞羞视频場進行聲學設計、聲學測量的內容。

  2.對於在线免费观看羞羞视频館,適當調整了建築聲學、噪聲控製、擴聲係統的設計指標與要求,對聲學測量的儀器與方法也作了適當調整。

  3.以附錄的形式,增加了有關擴聲係統語言傳輸指數方麵和遊泳池水下廣播係統擴聲特性指標及其測量方法的內容。

  本規程由住房和城鄉建設部負責管理,由中國建築科學研究院負責具體技術內容的解釋。執行過程中如有意見或建議,請寄送中國建築科學研究院(地址:北京市北三環東路30號,郵政編碼:100013)

  本規程主編單位:中國建築科學研究院

  本規程參編單位:北京市建築設計研究院 中廣電廣播電影電視設計研究院 東南大學 博世集團

  本規程主要起草人員:林傑 崢 陳建華 傅秀章 徐春 陳金京 駱學聰 柳孝圖 閆國軍 石敏 莫皎平 石紅蓉

  本規程主要審查人員:程明昆 福津 曹孝振 周兆駒 崔廣中 茹履京 馬軍 周茜 莫喜平


1 總 則

  1.0.1 為保證在线免费观看羞羞视频場館的觀眾席、比賽場地及有關房間滿足使用功能要求的聽聞環境,測量在线免费观看羞羞视频場館的聲學特性,檢驗在线免费观看羞羞视频場館聲學工程的質量,製定本規程。

  1.0.2 本規程適用於新建、擴建、改建在线免费观看羞羞视频場館的聲學設計和聲學測量,也適用於既有在线免费观看羞羞视频場館的聲學測量。

  1.0.3 在线免费观看羞羞视频場館的聲學設計應從建築方案設計階段開始。在线免费观看羞羞视频場館的建築聲學設計、擴聲係統設計和噪聲控製設計應協調同步進行。

  1.0.4 對設有可開合活動頂蓋的在线免费观看羞羞视频場,應按對在线免费观看羞羞视频館的聲學設計原則進行建築聲學設計、噪聲控製設計。

  1.0.5 在线免费观看羞羞视频場館聲學設計和聲學測量除應符合本規程外,尚應符合現行有關標準的規定。


2 建築聲學設計

2.1 一般規定

  2.1.1 在线免费观看羞羞视频場館的建築聲學條件應保證使用擴聲係統時的語言清晰。未設置固定安裝的擴聲係統的訓練館,其建築聲學條件應保證訓練項目對聲環境的要求。

  2.1.2 在线免费观看羞羞视频館比賽大廳內觀眾席和比賽場地以及在线免费观看羞羞视频場的觀眾席不宜出現回聲、顫動回聲和聲聚焦等聲學缺陷。

  2.1.3 當選擇在线免费观看羞羞视频場館建築聲學處理方案時,應結合建築形式、結構形式、觀眾席和比賽場地的配置及揚聲器的布置等因素確定。

  2.1.4 當選擇聲學材料和構造時,聲學材料和構造應符合對材料的聲學性能、強度、防火、裝修、衛生、環保、防潮、造價等方麵的要求。

  2.1.5 在线免费观看羞羞视频場館的吸聲處理宜結合房間圍護結構的保溫、隔熱、遮光的要求進行綜合設計。

  2.1.6 在處理比賽大廳內吸聲、反射聲和避免聲學缺陷等問題時,除應將擴聲揚聲器作為主要聲源外,還宜將進行在线免费观看羞羞视频活動時產生的自然聲源作為聲源。

2.2 混響時間

  2.2.1 綜合在线免费观看羞羞视频館比賽大廳滿場混響時間的選擇宜符合下列規定:

  1 在頻率為500Hz~1000Hz時,不同容積比賽大廳的滿場混響時間宜滿足表2.2.1-1的要求。

  2 各頻率混響時間相對於500Hz~1000Hz混響時間的比值宜符合表2.2.1-2的規定。

  表2.2.1-1 不同容積比賽大廳500Hz~1000Hz滿場混響時間


容枳(n?)

<40000

40000—80000

80000^-160000

>160000

混響時間(S)

1.3 〜1.4

1.4-1.fi

1.6 〜1.8

1. 9〜2・1



  注:當比賽大廳容積大於表中列出的大容積的1倍以上時,混響時間可比2.1s適當延長。

  表2.2.1-2 各頻率混響時間相對於500Hz~1000Hz混響時間的比值

頻率(Hz)

125

250

2000

4000

比值

1.0 〜1.3

 

0.9—1.0

0.8—1.0

  2.2.2 遊泳館比賽廳500Hz~1000Hz滿場混響時間宜滿足表2.2.2的要求;各頻率混響時間相對於500Hz~1000Hz混響時間的比值宜符合本規程表2.2.1-2的規定。

  表2.2.2 遊泳館比賽廳500Hz~1000Hz滿場混響時間


每座容積(m」座)

<25

>25

混響時冋V)

<2.0

<2.5


  2.2.3 有花樣滑冰表演功能的溜冰館,其比賽廳的混響時間可按容積大於160 000m³的綜合在线免费观看羞羞视频館比賽大廳的混響時間設計。冰球館、速滑館、網球館、田徑館等專項在线免费观看羞羞视频館比賽廳的混響時間可按本規程中遊泳館比賽廳混響時間的規定設計。

  2.2.4 在线免费观看羞羞视频場館內對聲學環境有較高要求的輔助房間的混響時間宜符合表2.2.4的規定。

  表2.2.4 在线免费观看羞羞视频場館內輔助房間500Hz~1000Hz混響時間


房間名稱

混響時間(8)

評論員室、播音室、擴聲控製室

0.4〜0, 6

貴賓休息室和包廂

0.8 〜1.0


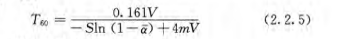
  2.2.5 混響時間可按公式(2.2.5)分別對125Hz、250Hz、500Hz、1000Hz、2000Hz、4000Hz六個頻率進行計算,計算值取到小數點後一位。

在线免费观看羞羞视频場館聲學設計及測量規程JGJ/T 131-2012 備案號J 42-2012

  式中:T60——混響時間(s);

  V——房間容積(m³);

  S——室內總表麵積(㎡);

  a——室內平均吸聲係數;

  m——空氣中聲衰減係數(m-1)。

  2.2.6 室內平均吸聲係數應按公式(2.2.6)計算:

在线免费观看羞羞视频場館聲學設計及測量規程JGJ/T 131-2012 備案號J 42-2012

  式中:Si——室內各部分的表麵積(㎡);

  ai——與表麵Si對應的吸聲係數;

  Nj——人或物體的數量;

  Aj——與Nj對應的吸聲量(㎡)。

        2.3 吸聲與反射處理

  2.3.1 在线免费观看羞羞视频館比賽大廳的上空應設置吸聲材料或吸聲構造。

  2.3.2 當在线免费观看羞羞视频館比賽大廳屋麵有采光頂時,應結合遮光構造對采光部位進行吸聲處理。

  2.3.3 在线免费观看羞羞视频館比賽大廳四周的玻璃窗宜設置吸聲窗簾。

  2.3.4 在线免费观看羞羞视频館比賽大廳的山牆或其他大麵積牆麵應做吸聲處理。

  2.3.5 在线免费观看羞羞视频館比賽場地周圍的矮牆、看台欄板宜設置吸聲構造,或控製傾斜角度和造型。

  2.3.6 在线免费观看羞羞视频館內與比賽大廳連通為一體的休息大廳內應結合裝修進行吸聲處理。

  2.3.7 遊泳館中使用的聲學材料應采取防潮、防酸堿霧的措施。

  2.3.8 網球館內應在有可能對網球撞擊地麵的聲音產生回聲的部位進行吸聲處理。

  2.3.9 對挑棚較深的在线免费观看羞羞视频場,宜在挑棚內進行吸聲處理。

  2.3.10 在线免费观看羞羞视频場館的主席台、裁判席周圍壁麵應做吸聲處理。

  2.3.11 在沒有觀眾席的在线免费观看羞羞视频館、訓練館和遊泳館內宜在牆麵和頂棚進行吸聲處理。

  2.3.12 在线免费观看羞羞视频場館的評論員室、播音室、擴聲控製室、貴賓休息室和包廂等輔助房間內應結合裝修進行吸聲處理。


3 噪聲控製

3.1 一般規定

  3.1.1 在线免费观看羞羞视频館比賽大廳和在线免费观看羞羞视频場館有關用房的噪聲控製設計應從總體設計、平麵布置以及建築物的隔聲、吸聲、消聲、隔振等方麵采取措施,應選用低噪聲輻射的通風、空調、照明等設備係統。

  3.1.2 在线免费观看羞羞视频場館噪聲對環境的影響應符合現行標準《聲環境質量標準》GB 3096的規定。

3.2 室內背景噪聲限值

  3.2.1 在线免费观看羞羞视频館比賽大廳和在线免费观看羞羞视频場館有關用房的背景噪聲不應超過相應的室內背景噪聲限值。

  3.2.2 當在线免费观看羞羞视频館比賽大廳或在线免费观看羞羞视频場館的貴賓休息室、擴聲控製室、評論員室和播音室無人占用時,在通風、空調、照明設備等正常運轉條件下,室內背景噪聲限值宜符合表3.2.2的規定。

  表3.2.2 在线免费观看羞羞视频館比賽大廳等房間的室內背景噪聲限值


房間名稱

室內背景噪聲限值

在线免费观看羞羞视频信比鹿大廳

NR-40

貴賓休息室、擴聲控製室

NR-35

評論員室、播音室

NR-30


3.3 噪聲控製和其他聲學要求

  3.3.1 在线免费观看羞羞视频館比賽大廳四周外圍護結構的計權隔聲量應根據環境噪聲情況及區域聲環境要求確定。在线免费观看羞羞视频館比賽大廳宜利用休息廊等隔絕外界噪聲幹擾。休息廊內宜作吸聲降噪處理。對室內噪聲有嚴格要求的在线免费观看羞羞视频館比賽大廳,可對屋頂產生的雨致噪聲、風致噪聲等采取隔離措施。

  3.3.2 貴賓休息室圍護結構的計權隔聲量應根據其環境噪聲情況確定。

  3.3.3 評論員室之間的隔牆、播音室的隔牆的隔聲性能應保證房間外空間正常工作時房間內的背景噪聲符合本規程表3.2.2的規定。

  3.3.4 通往比賽大廳、貴賓休息室、擴聲控製室、評論員室、播音室等房間的送風、回風管道均應采取消聲和減振措施。風口處不宜有引起再生噪聲的阻擋物。

  3.3.5 空調機房、鍋爐房等各種設備用房應遠離比賽大廳、貴賓休息室等有安靜要求的用房。當其與主體建築相連時,應采取有效的降噪、隔振措施。

  .

4 擴聲係統設計

4.1 一般規定

  4.1.1 在在线免费观看羞羞视频場館中應設置固定安裝的擴聲係統。固定安裝的擴聲係統應滿足在线免费观看羞羞视频比賽活動時觀眾席、比賽場地等服務區域的語言擴聲需求。

  4.1.2 擴聲係統應保證在觀眾席、比賽場地及其他係統服務區域內達到相應的聲壓,聲音應清晰、聲場應均勻。同時,在其服務區域所產生的大聲音不應造成人員聽力的損傷。

  4.1.3 當在线免费观看羞羞视频場館進行非在线免费观看羞羞视频比賽活動時,宜根據需要配置臨時擴聲係統,結合固定安裝的擴聲係統使用。

  4.1.4 根據使用要求,固定安裝的擴聲係統應包括下列獨立或同時使用的主擴聲係統和輔助係統:

  1 觀眾席、比賽場地的主擴聲係統;

  2 檢錄、呼叫廣播係統;

  3 新聞發布廳擴聲係統;

  4 內部通話係統;

  5 遊泳池水下廣播係統。

  4.1.5 主要觀眾席和比賽場地周邊應設置擴聲係統綜合輸入、輸出接口插座,擴聲控製室與各控製機房之間應有管道或線槽路徑供安裝信號聯絡線。

  4.1.6 擴聲係統對服務區以外有人區域不應造成環境噪聲汙染。

4.2 擴聲特性指標

  4.2.1 在线免费观看羞羞视频館比賽大廳主擴聲係統的擴聲特性指標可分為三。觀眾席擴聲係統的擴聲特性指標應按表4.2.1的規定選用;比賽場地擴聲係統的擴聲特性指標可與觀眾席同或降低一。

  表4.2.1 在线免费观看羞羞视频館主擴聲係統擴聲特性指標


鼓大聲壓級

傳輸頻率特性

傳聲増益

徳態聲場不均勻度

係統噪聲

_級

額定通帶內,不小 105dB

 125Hz 〜4000Hz 的平均聲壓為OdB. 在此頻帶內允許 —4dB〜+4dB的變化 1/3 倍頻程測畑);  100Hz、5000Hz 頻帶允許-6dB~ + 4dB的變化;在 8OHz. 6300Hz 頻帯  允許一8dB〜+ 4dB 的變化I在63Hz 、 8000Hz頻帶允許  10dB〜+ 4dB的變  化(圖 4.2.1-1)

125Hz~ 4000Hz 平均不小-10dB

頻率為 lOOOHzs 4000Hz (1/3 頻程帶 寬)時,大部分 區域不均勻度不  大於8dB

擴聲係統 不產生明顯 可察覺的噪 聲幹擾

額定通帯內,不小lOOdB

 125Hz 〜4000Hz 的平均聲壓為OdB, 在此頻戰內允許 —6dB〜+ 4dB的變 H/3 倍頻程測救);  100Hz, 5000Hz  帯允許一 8dB〜+4dB 的變化1在80Hz, 6300Hz 頻帶允許 -10dB- + 4dB  的變 化;在 63Hz. 8000Hz 頻帶允許一 I2dfi〜 +4dB 的變化(圖 4, 2. h2)

125Hz 〜 4000Hz 平均不小 _12dB

頗率為 1000Hz, 4000Hz 1/3倍頻程帯 寛)時,大部分 區域不均勾度不 大於10dB

擴聲係統 不產生明顯 可察覺的噪 聲幹擾

額定通帶內,不小 95dB

 250Hz~4000Hz 的平均聲壓為OdB, 在此頻帶內允許 -8dB~+4dB的變化 (1/3偌頻程測童);在 200Hz.5000HzM  帯允 許一 10dB~ + 4dB  變化;在 160Hz, 6300W? 頻帶允許-12HB ~ +4dB的變化1  125Hz, 8000Hz 頻帶 允許14dB—卜4dB 的變化(圖4.2.1-3)

250Hz 〜 4000Hz 平均不小 一12dB

頻率為 1000H2 1/3 頻程帯寬)時, 大部分區域不均  勻度不大於WdB

擴聲係統 不產生明撾 可察覽的噪 聲幹擾


在线免费观看羞羞视频場館聲學設計及測量規程JGJ/T 131-2012 備案號J 42-2012

圖4.2.1-1 在线免费观看羞羞视频館一傳輸頻率特性範圍

2在线免费观看羞羞视频場館聲學設計及測量規程JGJ/T 131-2012 備案號J 42-2012

圖4.2.1-2 在线免费观看羞羞视频館二傳輸頻率特性範圍

3在线免费观看羞羞视频場館聲學設計及測量規程JGJ/T 131-2012 備案號J 42-2012

圖4.2.1-3 在线免费观看羞羞视频館三傳輸頻率特性範圍

  4.2.2 在线免费观看羞羞视频場主擴聲係統的擴聲特性指標可分為三。觀眾席擴聲係統的擴聲特性指標應按表4.2.2的規定選用,比賽場地擴聲係統的擴聲特性指標可與觀眾席同或降低一。

  表4.2.2 在线免费观看羞羞视频場主擴聲係統擴聲特性指標


等級

皺大有壓

傳輸頻率特性

傳聲増益

穩態聲場不均勻度

係統噪聲

額定通帶不小105dB

以125Hz〜4000 的平均聲壓為OdB. 在此頻帶內允許 —6dB〜+ 4dB的變  1/3倍頻程測做);  100Hz、5000Hg  帶允許一 8dB~+4dB 的變化1在80Hz, 6300Hz 頻帶允許 —10dB〜+ 4dB的變 化;在 63Hz. 8000Hz 頗帶允許一12dB〜 +4dB的變化(圖 4.2. 2-1)

125Hz 〜

4000 Hz 平均不小一10dB

頻率為 1000 Hz、4000H Jt /3倍頻程帶寬) 時,大部分區域 不均勻度不大於 8dB

擴聲係 統不產生 明顯可察覺的噪聲 幹擾


大聲壓皴

傳輸頻率特性

傳聲増益

拖態聲場不均勻度

係統嚥聲

二級

額定通帶.不小 98dB

以125~4000 的平均聲壓為OdB, 在此頻帶內允許 8dB〜+ 4dB 的変化 (1/3倍頻程測量),在 100HX.5000H?頻帶允 一lldB〜十4dB  垂化;在 80Hz,6300Hz 頻帶允許一 14dB~ +4dB的変化;在 63Hz,8000Hz 頻帶允  許一 17dB〜+ 4dB  血化(圖4.2.2-2)

125Hz~ 4000H? 平均不小-12dB

頻率為 1000Hz, 4000Hz 1/3倍頻程帶寬) 時,大部分區域 不均勻度不大於10dB

擴聲係 統不產生 明顯可察 覺的噪聲幹擾

三級

額定通帶內,不小 90dB

 250Hz 〜4000Hz 的平均聲壓級為OdB. 在此頻帶內允許 —10dB〜 十4dB的變 (1/3 借頻程測吊),  200Hz, 5000Hz  帶允許一13dB〜+4dB 的變化;在160H2, 6300Hz 頻帶允許 —16dB~ + 4dB  的瘻 化;在 125Hz. 8000Hz 頻帶允許一 19dB〜   4dB的變化(囹4.2.2-3)

250Hz 〜 4000Hz 平均不小 一14dB

頻率為 1000Hz 1/3 倍頻 程帶寬)時,大部 分區域不均勾度  不大於12dB

擴聲係 統不產生 M可察覺的噪聲  幹擾



4在线免费观看羞羞视频場館聲學設計及測量規程JGJ/T 131-2012 備案號J 42-2012

  圖4.2.2-1 在线免费观看羞羞视频場一傳輸頻率特性範圍

5在线免费观看羞羞视频場館聲學設計及測量規程JGJ/T 131-2012 備案號J 42-2012

  圖4.2.2-2 在线免费观看羞羞视频場二傳輸頻率特性範圍

6在线免费观看羞羞视频場館聲學設計及測量規程JGJ/T 131-2012 備案號J 42-2012

  圖4.2.2-3 在线免费观看羞羞视频場三傳輸頻率特性範圍

  4.2.3 檢錄、呼叫廣播係統所服務的區域,其擴聲特性指標宜按表4.2.3的規定選取。

  表4.2.3 檢錄、呼叫廣播係統擴聲特性指標


大聲壓

傳輸頻率特性

穩窓聲場不均勻度

係統噪聲

額定通 帶內,不 小於85dH

250Hz〜4UO0HZ的平均聲壓 OdB,在此頻帶內允許一10dB〜 +4dB的變化(1/3倍頻程測威);在 200Hz, 5000Hz 頻帯允許一J3dB〜 + 4dB  的變化;在 160Hz、6300Hz 頻帶允許T6dB〜+ 4dB的變化; 125Hz、8000Hz 頻帶允許一19dB〜 +4dB的變化(圖4.2.3)

小於成等於10JB

係統不 產生明顯可察覺的 嚥聲幹擾

7在线免费观看羞羞视频場館聲學設計及測量規程JGJ/T 131-2012 備案號J 42-2012


  圖4.2.3 檢錄、呼叫廣播係統傳輸頻率特性範圍

  4.2.4 在线免费观看羞羞视频場館主擴聲係統和檢錄、呼叫廣播係統的擴聲係統語言傳輸指數(STIPA)應符合本規程附錄A的規定。

  4.2.5 新聞發布廳擴聲係統的擴聲特性指標,宜符合現行標準《廳堂擴聲係統設計規範》GB 50371中關於會議類擴聲係統的相關規定。

  4.2.6 遊泳池水下廣播係統的擴聲特性指標應符合本規程附錄B的規定。

4.3 主擴聲係統

  4.3.1 傳聲器的配置應符合下列規定:

  1 應按使用範圍配置相應數量的傳聲器;

  2 應選擇有利於抑製聲反饋、低阻抗和平衡輸出類型的傳聲器;

  3 在主席台、裁判席應設傳聲器插座;比賽場地四周宜設傳聲器插座。

  4.3.2 觀眾席揚聲器係統應符合下列規定:

  1 應選用靈敏度高、指向性合適、大聲壓高、頻帶範圍寬的揚聲器係統;

  2 揚聲器係統宜根據不同場館的具體情況,可采用集中式、分散式或集中分散相結合的方式吊裝;

  3 在在线免费观看羞羞视频場館觀眾席上感覺到的由擴聲揚聲器係統產生的聲像宜位於前方;

  4 對露天非全封閉在线免费观看羞羞视频場,揚聲器係統應為全天候型:具有防風、防熱、防水、防鹽霧(沿海地區)等性能;在遊泳館使用的揚聲器係統應具有防水、防酸堿霧等性能;

  5 當采用功率放大器與揚聲器為一體的有源揚聲器係統時,有源揚聲器係統的安裝位置應滿足安全要求。

  4.3.3 比賽場地揚聲器係統應符合下列規定:

  1 比賽場地應設置可獨立控製的揚聲器係統;

  2 比賽場地揚聲器係統的軸線指向應避免場地作為反射麵將主要聲能反射到觀眾席上。

  4.3.4 主擴聲揚聲器係統與可能設置主擴聲傳聲器處之間的距離宜大於主擴聲揚聲器係統的臨界距離;揚聲器係統主軸應避免指向主擴聲傳聲器。

  注:臨界距離係指聲場中直達聲能密度與混響聲能密度相等的點到聲源的距離。

  4.3.5 主擴聲揚聲器係統的特性及配置應使其直達聲均勻覆蓋其服務區。主擴聲揚聲器係統的設置,應避免在在线免费观看羞羞视频館觀眾席、比賽場地出現回聲;應避免在在线免费观看羞羞视频場觀眾席出現強回聲。

  4.3.6 揚聲器係統的安裝條件應符合下列規定:

  1 必須有安全可靠的保障措施,當涉及承重結構改動或增加荷載時,應由原結構設計單位或具備相應資質的設計單位核查有關原始資料,對既有建築結構的安全性進行校驗、確認;

  2 不應引致其他噪聲;

  3 當揚聲器係統采用暗裝時,安裝開口應大至不遮擋揚聲器係統向其服務區輻射直達聲;選擇安裝開口所用裝飾麵材料時,應主要根據裝飾麵材料的透聲性能確定;當裝飾麵材料為開孔類型的材料時,開孔率不應小於50%;蒙麵裝飾用格柵的尺寸不宜大於20mm,並應小於揚聲器單元聲輻射口徑的1/10;

  4 揚聲器係統安裝位置後方的反射麵應做聲學處理。

4.4 輔助係統

  4.4.1 檢錄、呼叫廣播係統應符合下列規定:

  1 運動員檢錄處宜設置小型流動擴聲係統;

  2 運動員、教練員、裁判、醫務等人員休息、練習、工作場所應設呼叫廣播係統;

  3 在在线免费观看羞羞视频場館的入口處、包廂、觀眾休息區等處應設置呼叫廣播係統。

  4.4.2 新聞發布廳擴聲係統的設置,宜符合現行標準《廳堂擴聲係統設計規範》GB 50371中關於會議類擴聲係統的相關規定。

  4.4.3 大型在线免费观看羞羞视频場館內宜設置裁判、運動員和工作人員之間的內部通話係統。

  4.4.4 當設置內部通話係統時,在擴聲控製室、燈光控製室、檢錄處、裁判員席、公共廣播機房、顯示屏控製機房和消防安全值班室等主要技術及在线免费观看羞羞视频工作用房應設置內部通話台分站;在現場調音位、功放機房、記者席、評論員席及場內廣播室等主要工作點宜設置內部通話插座麵板。

  4.4.5 遊泳池水下廣播係統應符合下列規定:

  1 有花樣遊泳表演需求的遊泳池,應設置獨立的水下揚聲器係統;

  2 水下揚聲器可固定安裝在與泳道平行的兩側池壁;

  3 應采用延時器調節水下揚聲器係統與比賽場地揚聲器係統的時間差。

  4.5 擴聲控製室與功放機房

  4.5.1 擴聲控製室應設置在便於觀察場內的位置,麵向主席台及觀眾席開設觀察窗,觀察窗的位置和尺寸應保證調音員正常工作時對主席台、裁判席、比賽場地和大部分觀眾席有良好的視野;觀察窗宜可開啟,調音員應能聽到主擴聲係統的效果。

  4.5.2 擴聲控製室的麵積應滿足設備布置和方便操作及正常檢修的需要;地麵宜鋪設防靜電活動架空地板。

  4.5.3 擴聲控製室內若有正常工作時發出超過NR-35幹擾噪聲的設備,宜設置設備隔離室。

  4.5.4 擴聲控製室內宜設置監聽揚聲器係統。

  4.5.5 擴聲控製室與比賽場地之間宜預留不少於2對的管線。

  4.5.6 當擴聲控製室與觀眾席揚聲器係統、比賽場地揚聲器係統連線單程長度超過100m時,宜在揚聲器係統安裝位置的附近區域設置功放機房。對大型在线免费观看羞羞视频場館,若采用分散式的揚聲器布置,宜設置多個功放機房以分區域分配功率放大器。

  4.5.7 當功放機房與擴聲控製室不在同一操作區域時,宜對功放設備配置監控係統。

  4.5.8 功放機房應設置獨立的空調係統。

  4.5.9 擴聲係統設備的電源不應與可控矽調光設備、舞台機械設備、空調係統或變頻設備等共用同一電源變壓器;若其電源電壓不穩定或受幹擾嚴重,應配備電源穩壓器或隔離變壓器。

  4.5.10 當擴聲係統設備工藝接地時,應設獨立接地母線並單點接地,其接地電阻不應大於1Ω。

  4.6 係統設備與連接

  4.6.1 調音台及信號處理應符合下列規定:

  1 觀眾席擴聲係統應配置獨立的調音台;

  2 觀眾席擴聲係統、比賽場地擴聲係統、遊泳池水下廣播係統應設信號處理設備,其功能宜包括增益、分配、混合、均衡、壓縮、限幅、延時、濾波及分頻等。

  4.6.2 係統連接應符合下列規定:

  1 傳聲器信號及音頻信號傳輸連接線應采用帶屏蔽的平衡電纜;

  2 擴聲設備之間互連應符合現行標準《聲係統設備互連的優選配接值》GB/T 14197的規定;

  3 當傳聲器信號連接線單程長度超過100m時,在傳聲器附近宜采用前置放大器對信號進行放大後再傳輸;擴聲控製室與功放機房之間宜采用數字方式的信號傳輸;

  4 擴聲控製室與公共廣播控製機房、功放機房、檢錄區域、裁判席、評論員席、記者席、顯示屏控製機房、轉播控製室等技術功能用房之間應設置雙向音頻信號傳輸係統;

  5 應預留與公共廣播係統、應急廣播係統的信號接口;

  6 當功率放大器與揚聲器係統分離時,全頻揚聲器連線的功率損耗應小於全頻揚聲器功率的10%,次低頻揚聲器連線的功率損耗宜小於次低頻揚聲器功率的5%。

  .

  5 聲學測量

  5.1 一般規定

  5.1.1 在线免费观看羞羞视频場館建成後,應進行聲學測量並提供聲學測試報告書。竣工文件應包括終聲學測試結果。

  5.1.2 聲學測量應在擴聲係統電氣指標正常的條件下進行。在线免费观看羞羞视频館的聲學測量項目應包括混響時間、背景噪聲、大聲壓、傳輸頻率特性、傳聲增益和聲場不均勻度;還可包括擴聲係統語言傳輸指數(STIPA)。在线免费观看羞羞视频場的聲學測量項目應包括大聲壓、傳輸頻率特性、傳聲增益和聲場不均勻度;還可包括背景噪聲和擴聲係統語言傳輸指數(STIPA)。擴聲係統語言傳輸指數(STIPA)的測量應符合本規程附錄A的規定。

  5.1.3 在進行聲學特性指標的測量時,可對觀眾席測點和比賽場地測點測得的數據分別加以統計。

  5.1.4 計算在不同位置上測得聲壓的平均聲壓時,應取算術平均值。

  5.1.5 測量在线免费观看羞羞视频館比賽大廳內或在线免费观看羞羞视频場內聲學特性指標的同時,應用音樂和語言節目對在线免费观看羞羞视频館比賽大廳內或在线免费观看羞羞视频場內有代表性的位置做主觀試聽,結合測量結果和聽感進行必要的調整。

  5.1.6 遊泳池水下廣播係統的擴聲特性的測量應按本規程附錄B執行。

  5.2 測量儀器

  5.2.1 噪聲信號發生器的性能應符合下列規定:

  1 應具有粉紅噪聲輸出功能;

  2 粉紅噪聲信號的峰值因數不應小於2;

  3 粉紅噪聲頻譜密度應符合下列規定:

  1)20Hz~20kHz頻率範圍內,衰減器輸出的各1/3倍頻帶電壓相對於頻率為1kHz的1/3倍頻帶電壓,其偏差不應小於-1.5dB且不應大於1.5dB;

  2)20Hz~20kHz頻率範圍內,負載輸出的各1/3倍頻帶電壓相對於頻率為1kHz的1/3倍頻帶電壓,其偏差不應小於-2dB且不應大於2dB;

  4 衰減輸出電壓的範圍應為0.4mV~4V,衰減輸出的變化應為每檔10dB且示值誤差應小於1dB;

  5 信噪比不應低於60dB。

  5.2.2 測試功率放大器的性能應符合下列規定:

  1 50Hz~15kHz頻率範圍內,頻率響應相對於1kHz的偏差不應小於-0.5dB且不應大於0.5dB;

  2 總諧波失真不應大於0.5%;

  3 負載阻抗應為4Ω、8Ω、16Ω;

  4 功率應能在各測點處產生符合本規程第5.3.4條規定的聲壓。

  5.2.3 測試傳聲器應符合現行標準《測量傳聲器 第4部分:工作標準傳聲器規範》GB/T 20441.4的規定。

  5.2.4 測量放大器的性能應符合下列規定:

  1 20Hz~20kHz頻率範圍內,頻率響應相對於1kHz的偏差不應小於-0.5dB且不應大於0.5dB;

  2 測量範圍應為100μV~300V;

  3 應具有A計權、C計權的頻率計權特性;

  4 應具有F計權、S計權的時間計權特性;

  5 固有噪聲應不大於10μV;

  6 化電壓應為200V;

  7 檢波器特性應符合測量有效值、平均值、峰值的要求,測量峰值因數不大於5的信號時,有效值的誤差應不大於0.5dB;

  8 衰減器示值誤差應小於0.1dB。

  5.2.5 倍頻程帶通濾波器或1/3倍頻程帶通濾波器應符合現行標準《電聲學 倍頻程和分數倍頻程濾波器》GB/T 3241的規定。

  5.2.6 聲分析儀應由測量放大器與倍頻程、1/3倍頻程帶通濾波器組成。

  5.2.7 聲校準器應符合現行標準《電聲學 聲校準器》GB/T 15173中1要求的規定。

  5.2.8 模擬節目信號網絡應符合現行標準《模擬節目信號》GB/T 6278的規定。

  5.2.9 聲頻電壓表的性能應符合下列規定:

  1 頻率範圍應為20Hz~20kHz;

  2 輸入阻抗不應小於100kΩ;

  3 輸入電容不應大於20pF;

  4 指示值誤差不應大於2.5%;

  5 應能測量峰值因數不大於5的信號。

  5.2.10 混響時間測量裝置應由測量放大器與倍頻程、1/3倍頻程帶通濾波器與聲壓衰變的記錄、顯示儀器組成。混響時間測量裝置應符合下列規定:

  1 50Hz~10kHz頻率範圍內,頻率響應相對於1kHz的偏差不應小於-0.5dB且不應大於0.5dB;

  2 動態範圍不應小於50dB;

  3 應能輸出聲壓衰變的曲線;對輸出指數平均聲壓的測量裝置,其指數平均時間常數不應大於1/64s;對輸出線性平均聲壓的測量裝置,其線性平均時間常數不應大於1/25s。

  5.2.11 測試揚聲器的性能應符合下列規定:

  1 有效頻率範圍應為63Hz~15kHz;

  2 總諧波失真不應大於5%;

  3 靈敏度不應小於94dB;

  4 額定功率應大於10W;

  5 標稱阻抗應為8Ω;

  6 箱體體積不應大於0.1m³。

  5.2.12 全向聲源的性能應符合下列規定:

  1 用倍頻帶粉紅噪聲激發聲源,在自由場測量的所有聲源指向性偏差應符合表5.2.12中的要求;

  2 在測量頻率範圍內,全向聲源應能在各測點處產生符合本規程第5.3.4條規定的聲壓。

  表5.2.12 在自由場測量的全向聲源各倍頻帶的指向性大偏差


  注:聲源的指向性偏差是用位於自由場中的聲源在通過聲源球心的測量平麵內、半徑大於1.5m的圓周上的聲壓計算得出的。計算方法是:用聲源在圓周上任意一段30°弧線上的聲壓平均值減去整個圓周上的聲壓平均值。

  5.2.13 在聲學測量時,也可使用同等準確度的其他測量儀器。

  5.3 測量條件

  5.3.1 測量前,擴聲設備應按設計要求安裝完畢,並應調整擴聲係統,使之處於正常工作狀態。有係統均衡器時,應在測量前調整到係統佳補償狀態。

  5.3.2 測量時,在线免费观看羞羞视频館比賽大廳的門、窗、窗簾的狀態均應與實際使用時的狀態一致。

  5.3.3 測量時,擴聲係統中傳聲器輸入、線路輸入通路的均衡(幅度頻率響應)調節應置於“0”位置。

  5.3.4 當測量混響時間時,測點處的信噪比不應小於35dB;當測量傳輸頻率特性、傳聲增益、大聲壓、聲場不均勻度時,測點處的信噪比不應小於15dB。

  5.3.5 測量混響時間可在空場、滿場條件下分別進行。其他聲學特性的測量可在空場條件下進行。

  5.3.6 測點的選取應符合下列規定:

  1 所有測點與牆麵的距離均不應小於1.5m。在觀眾席(含主席台、裁判席、活動觀眾席)區,測點距地麵高度應為1.2m。在比賽場地區,測點距地麵高度應為1.6m。

  2 對稱的在线免费观看羞羞视频館比賽大廳或在线免费观看羞羞视频場,測點可在在线免费观看羞羞视频館比賽大廳或在线免费观看羞羞视频場的1/2區域或1/4區域內選取;非對稱的在线免费观看羞羞视频館比賽大廳或在线免费观看羞羞视频場,測點應在整個在线免费观看羞羞视频館比賽大廳或在线免费观看羞羞视频場內選取。測點分布應均勻並具代表性。

  3 傳輸頻率特性、傳聲增益、大聲壓的測點數,在在线免费观看羞羞视频館觀眾席區宜選測量區域內座席數的5‰,且不應少於8點;在在线免费观看羞羞视频館比賽場地內不應少於3點;在在线免费观看羞羞视频場觀眾席區宜選測量區域內座席數的3‰;在在线免费观看羞羞视频場比賽場地內不應少於9點。

  4 聲場不均勻度的測點數,在在线免费观看羞羞视频館觀眾席區宜選測量區域內座席數的1%;在在线免费观看羞羞视频館比賽場地內不應少於5點;在在线免费观看羞羞视频場觀眾席區宜選測量區域內座席數的1/200;在在线免费观看羞羞视频場比賽場地內不應少於9點。

  5 混響時間、背景噪聲的測點數,在在线免费观看羞羞视频館觀眾席區不應少於6點;在在线免费观看羞羞视频館比賽場地內不應少於3點。


  因篇幅有限請到資料下載 下載完整文件。

  還可以了解更多關於會議室解決方案、產品和案例 等信息。

  還可以了解更多關於在线免费观看羞羞视频場館解決方案、產品和案例 等信息。

  還可以了解更多關於劇場成人羞羞国产视频解決方案、產品和案例 等信息。

  還可以了解更多關於學校教育 解決方案、產品和案例 等信息。



網站地圖