400-003-8066

音視頻係統解決方案
綜合布線係統工程設計規範 GB50311-2016

綜合布線係統工程設計規範 GB50311-2016

1總則1.0.1為了規範建築與建築群的語音、數據、圖像及多媒體業務綜合網絡建設,製定本規範。1.0.2本規範適用於新建、擴建、改建建築與建築群綜合布線係統工程設計。1.0.3綜合布線係統設施的建設,應納入建築與建築群相應的規劃設計之中,根據工程項目的性質、功能、環境條件和近、遠期用戶需求進行設計,應考慮施工和......

全國谘詢熱線
400-003-8066

在線谘詢

  因篇幅有限請到資料下載   下載完整文件。

  還可以了解更多關於會議室解決方案、產品和案例 等信息。

  還可以了解更多關於在线免费观看羞羞视频場館解決方案、產品和案例 等信息。

  還可以了解更多關於劇場成人羞羞国产视频解決方案、產品和案例 等信息。

  還可以了解更多關於學校教育   解決方案、產品和案例   等信息。


1 總 則

  1.0.1 為了規範建築與建築群的語音、數據、圖像及多媒體業務綜合網絡建設,製定本規範。

  1.0.2 本規範適用於新建、擴建、改建建築與建築群綜合布線係統工程設計。

  1.0.3 綜合布線係統設施的建設,應納入建築與建築群相應的規劃設計之中,根據工程項目的性質、功能、環境條件和近、遠期用戶需求進行設計,應考慮施工和維護方便,確保綜合布線係統工程的質量和安全,做到技術、經濟合理。

  1.0.4 綜合布線係統宜與信息網絡係統、安全技術防範係統、建築設備監控係統等的配線作統籌規劃,同步設計,並應按照各係統對信息的傳輸要求,做到合理優化設計。

  1.0.5 綜合布線係統工程設計中應選用出具合格檢驗報告、符合有關技術要求的定型產品。

  1.0.6 綜合布線係統的工程設計除應符合本規範外,尚應符合現行有關標準的規定。

2術語和縮略語

2.1 術 語

  2.1.1 布線 cabling

  能夠支持電子信息設備相連的各種纜線、跳線、接插軟線和連接器件組成的係統。

  2.1.2 建築群子係統 campus subsystem

  建築群子係統由配線設備、建築物之間的幹線纜線、設備纜線、跳線等組成。

  2.1.3 電信間 telecommunications room

  放置電信設備、纜線終接的配線設備,並進行纜線交接的一個空間。

  2.1.4 工作區 work area

  需要設置終端設備的獨立區域。

  2.1.5 信道 channel

  連接兩個應用設備的端到端的傳輸通道。

  2.1.6 鏈路 link

  一個CP鏈路或是一個鏈路。

  2.1.7 鏈路 permanent link

  信息點與樓層配線設備之間的傳輸線路。它不包括工作區纜線和連接樓層配線設備的設備纜線、跳線,但可以包括一個CP鏈路。

  2.1.8 集合點 consolidation point(CP)

  樓層配線設備與工作區信息點之間水平纜線路由中的連接點。

  2.1.9 CP鏈路 CP link

  樓層配線設備與集合點(CP)之間,包括兩端的連接器件在內的性的鏈路。

  2.1.10 建築群配線設備 campus distributor

  終接建築群主幹纜線的配線設備。

  2.1.11 建築物配線設備 building distributor

  為建築物主幹纜線或建築群主幹纜線終接的配線設備。

  2.1.12 樓層配線設備 floor distributor

  終接水平纜線和其他布線子係統纜線的配線設備。

  2.1.13 入口設施 building entrance facility

  提供符合相關規範的機械與電氣特性的連接器件,使得外部網絡纜線引入建築物內。

  2.1.14 連接器件 connecting hardware

  用於連接電纜線對和光纜光纖的一個器件或一組器件。

  2.1.15 光纖適配器 optical fibre adapter

  將光纖連接器實現光學連接的器件。

  2.1.16 建築群主幹纜線 campus backbone cable

  用於在建築群內連接建築群配線設備與建築物配線設備的纜線。

  2.1.17 建築物主幹纜線 building backbone cable

  入口設施至建築物配線設備、建築物配線設備至樓層配線設備、建築物內樓層配線設備之間相連接的纜線。

  2.1.18 水平纜線 horizontal cable

  樓層配線設備至信息點之間的連接纜線。

  2.1.19 CP纜線 CP cable

  連接集合點(CP)至工作區信息點的纜線。

  2.1.20 信息點(TO) telecommunications outlet

  纜線終接的信息插座模塊。

  2.1.21 設備纜線 equipment cable

  通信設備連接到配線設備的纜線。

  2.1.22 跳線 patch cord/jumper

  不帶連接器件或帶連接器件的電纜線對和帶連接器件的光纖,用於配線設備之間進行連接。

  2.1.23 纜線 cable

  電纜和光纜的統稱。

  2.1.24 光纜 optical cable

  由單芯或多芯光纖構成的纜線。

  2.1.25 線對 pair

  由兩個相互絕緣的導體對絞組成,通常是一個對絞線對。

  2.1.26 對絞電纜 balanced cable

  由一個或多個金屬導體線對組成的對稱電纜。

  2.1.27 屏蔽對絞電纜 screened balanced cable

  含有總屏蔽層和/或每線對屏蔽層的對絞電纜。

  2.1.28 非屏蔽對絞電纜 unscreened balanced cable

  不帶有任何屏蔽物的對絞電纜。

  2.1.29 接插軟線 patch cord

  一端或兩端帶有連接器件的軟電纜。

  2.1.30 多用戶信息插座 multi-user telecom-munication outlet

  工作區內若幹信息插座模塊的組合裝置。

  2.1.31 配線區 the wiring zone

  根據建築物的類型、規模、用戶單元的密度,以單棟或若幹棟建築物的用戶單元組成的配線區域。

  2.1.32 配線管網 the wiring pipeline network

  由建築物外線引入管、建築物內的豎井、管、橋架等組成的管網。

  2.1.33 用戶接入點 the subscriber access point

  多家電信業務經營者的電信業務共同接入的部位,是電信業務經營者與建築建設方的工程界麵。

  2.1.34 用戶單元 subscriber unit

  建築物內占有一定空間、使用者或使用業務會發生變化的、需要直接與公用電信網互聯互通的用戶區域。

  2.1.35 光纖到用戶單元通信設施 fiber to the subscriber unit communication facilities

  光纖到用戶單元工程中,建築規劃用地紅線內地下通信管道、建築內管槽及通信光纜、光配線設備、用戶單元信息配線箱及預留的設備間等設備安裝空間。

  2.1.36 配線光纜 wiring optical cable

  用戶接入點至園區或建築群光纜的匯聚配線設備之間,或用戶接入點至建築規劃用地紅線範圍內與公用通信管道互通的人(手)孔之間的互通光纜。

  2.1.37 用戶光纜 subscriber optical cable

  用戶接入點配線設備至建築物內用戶單元信息配線箱之間相連接的光纜。

  2.1.38 戶內纜線 indoor cable

  用戶單元信息配線箱至用戶區域內信息插座模塊之間相連接的纜線。

  2.1.39 信息配線箱 information distribution box

  安裝於用戶單元區域內的完成信息互通與通信業務接入的配線箱體。

  2.1.40 橋架 cable tray

  梯架、托盤及槽盒的統稱。


2.2 縮略語

  ACR-F(Attenuation to Crosstalk Ratio at the Far-end)衰減遠端串音比

  ACR-N(Attenuation to Crosstalk Ratio at the Near-end)衰減近端串音比

  BD(Building Distributor) 建築物配線設備

  CD(Campus Distributor) 建築群配線設備

  CP(Consolidation Point) 集合點

  d.c.(Direct Current loop resistance) 直流環路電阻

  ELTCTL(Equal Level TCTL) 兩端等效橫向轉換損耗

  FD(Floor Distributor) 樓層配線設備

  FEXT[Far End Crosstalk Attenuation(loss)] 遠端串音

  ID(Intermediate Distributor) 中間配線設備

  IEC(International Electrotechnical Commission) 電工技術委員會

  IEEE(the Institute of Electrical and Electronics Engineers)美國電氣及電子工程師學會

  IL(Insertion Loss) 插入損耗

  IP(Internet Protocol) 因特網協議

  ISDN(Integrated Services Digital Network) 綜合業務數字網

  ISO(International Organization for Standardization) 標準化組織

  MUTO(Multi-User Telecom-munications Outlet) 多用戶信息插座

  MPO(Multi-fiber Push On) 多芯推進鎖閉光纖連接器件

  NI(Network Interface) 網絡接口

  NEXT[Near End Crosstalk Attenuation(loss)] 近端串音

  OF(Optical Fibre) 光纖

  POE(Power Over Ethernet) 以太網供電

  PS NEXT [Power Sum Near End Crosstalk Attenuation(loss)] 近端串音功率和

  PS AACR-F(Power Sum Attenuation to Alien Crosstalk Ra-tio at the Far-end) 外部遠端串音比功率和

  PS AACR-Favg(Average Power Sum Attenuation to Alien Crosstalk Ratio at the Far-end) 外部遠端串音比功率和平均值

  PS ACR-F(Power Sum Attenuation to Crosstalk Ratio at the Far-end) 衰減遠端串音比功率和

  PS ACR-N(Power Sum Attenuation to Crosstalk Ratio at the Near-end) 衰減近端串音比功率和

  PS ANEXT[Power Sum Alien Near-End Crosstalk(loss)]外部近端串音功率和

  PS ANEXTavg[Average Power Sum Alien Near-End Crosstalk(loss)] 外部近端串音功率和平均值

  PS FEXT[Power Sum Far end Crosstalk(loss)] 遠端串音功率和

  RL(Return Loss) 回波損耗

  SC[Subscriber Connector(optical fibre connector)] 用戶連接器件(光纖活動連接器件)

  SW(Switch) 交換機

  SFF(Small Form Factor connector) 小型光纖連接器件

  TCL(Transverse Conversion Loss) 橫向轉換損耗

  TCTL(Transverse Conversion Transfer Loss) 橫向轉換轉移損耗

  TE(Terminal Equipment) 終端設備

  TO(Telecommunications Outlet) 信息點

  TIA(Telecommunications Industry Association) 美國電信工業協會

  UL(Underwriters Laboratories) 美國保險商實驗所安全標準

  Vr.m.s(Vroot.mean.square) 電壓有效值

3係統設計

3.1 係統構成

  3.1.1 綜合布線係統應為開放式網絡拓撲結構,應能支持語音、數據、圖像、多媒體等業務信息傳遞的應用。

  3.1.2 綜合布線係統的構成應符合下列規定:

  1 綜合布線係統的基本構成應包括建築群子係統、幹線子係統和配線子係統(圖3.1.2-1)。配線子係統中可以設置集合點(CP),也可不設置集合點。

《綜合布線係統工程設計規範》GB50311-2007

圖3.1.2-1 綜合布線係統基本構成

  2 綜合布線各子係統中,建築物內樓層配線設備(FD)之間、不同建築物的建築物配線設備(BD)之間可建立直達路由[圖3.1.2-2(a)]。工作區信息插座(TO)可不經過樓層配線設備(FD)直接連接至建築物配線設備(BD),樓層配線設備(FD)也可不經過建築物配線設備(BD)直接與建築群配線設備(CD)互連[圖3.1.2-2(b)]。

  3 綜合布線係統入口設施連接外部網絡和其他建築物的引入纜線,應通過纜線和BD或CD進行互連(圖3.1.2-3)。對設置了設備間的建築物,設備間所在樓層配線設備(FD)可以和設備間中的建築物配線設備或建築群配線設備(BD/CD)及入口設施安裝在同一場地。

圖片2《綜合布線係統工程設計規範》GB50311-2007

圖3.1.2-2 綜合布線子係統構成

圖片3《綜合布線係統工程設計規範》GB50311-2007

圖3.1.2-3 綜合布線係統引入部分構成

  4 綜合布線係統典型應用中,配線子係統信道應由4對對絞電纜和電纜連接器件構成,幹線子係統信道和建築群子係統信道應由光纜和光連接器件組成。其中建築物配線設備(FD)和建築群配線設備(CD)處的配線模塊和網絡設備之間可采用互連或交叉的連接方式,建築物配線設備(BD)處的光纖配線模塊可儀對光纖進行互連(圖3.1.2-4)。

圖片4《綜合布線係統工程設計規範》GB50311-2007

圖3.1.2-4 綜合布線係統應用典型連接與組成

  3.1.3 綜合布線係統工程設計應符合下列規定:

  1 一個獨立的需要設置終端設備(TE)的區域宜劃分為一個工作區。工作區應包括信息插座模塊(TO)、終端設備處的連接纜線及適配器。

  2 配線子係統應由工作區內的信息插座模塊、信息插座模塊至電信間配線設備(FD)的水平纜線、電信間的配線設備及設備纜線和跳線等組成。

  3 幹線子係統應由設備間至電信間的主幹纜線、安裝在設備間的建築物配線設備(BD)及設備纜線和跳線組成。

  4 建築群子係統應由連接多個建築物之間的主幹纜線、建築群配線設備(CD)及設備纜線和跳線組成。

  5 設備間應為在每棟建築物的適當地點進行配線管理、網絡管理和信息交換的場地。綜合布線係統設備間宜安裝建築物配線設備、建築群配線設備、以太網交換機、電話交換機、計算機網絡設備。入口設施也可安裝在設備間。

  6 進線間應為建築物外部信息通信網絡管線的入口部位,並可作為入口設施的安裝場地。

  7 管理應對工作區、電信間、設備間、進線間、布線路徑環境中的配線設備、纜線、信息插座模塊等設施按一定的模式進行標識、記錄和管理。

  3.1.4 綜合布線係統與外部配線網連接時,應遵循相應的接口要求。

3.2 係統分與組成

  3.2.1 綜合布線電纜布線係統的分與類別劃分應符合表3.2.1的規定。

  表3.2.1 電纜布線係統的分與類別

圖片5《綜合布線係統工程設計規範》GB50311-2007

  注:5、6、6A、7、7A類布線係統應能支持向下兼容的應用。

  3.2.2 布線係統信道應由長度不大於90m的水平纜線、10m的跳線和設備纜線及多4個連接器件組成,鏈路則應由長度不大於90m水平纜線及多3個連接器件組成(圖3.2.2)。

圖片6《綜合布線係統工程設計規範》GB50311-2007

圖3.2.2 布線係統信道、鏈路、CP鏈路構成

  3.2.3 光纖信道應分為OF-300、OF-500和OF-2000三個等,各等光纖信道應支持的應用長度不應小於300m、500m及2000m。

  3.2.4 光纖信道構成方式應符合下列規定:

  1 水平光纜和主幹光纜可在樓層電信間的光配線設備(FD)處經光纖跳線連接構成信道(圖3.2.4-1)。

  2 水平光纜和主幹光纜可在樓層電信間處經接續(熔接或機械連接)互通構成光纖信道(圖3.2.4-2)。

圖片7《綜合布線係統工程設計規範》GB50311-2007

圖3.2.4-1 光纖信道構成1

圖片8《綜合布線係統工程設計規範》GB50311-2007

圖3.2.4-2 光纖信道構成2

  3 電信間可隻作為主幹光纜或水平光纜的路徑場所(圖3.2.4-3)。

  3.2.5 當工作區用戶終端設備或某區域網絡設備需直接與公用通信網進行互通時,宜將光纜從工作區直接布放至電信業務經營者提供的入口設施處的光配線設備。

圖片9《綜合布線係統工程設計規範》GB50311-2007

圖3.2.4-3 光纖信道構成3


3.3 纜線長度劃分

  3.3.1 主幹纜線組成的信道出現4個連接器件時,纜線的長度不應小於15m。

  3.3.2 配線子係統信道的大長度不應大於100m(圖3.3.2),長度應符合表3.3.2的規定。

圖片10《綜合布線係統工程設計規範》GB50311-2007

圖3.3.2 配線子係統纜線劃分

  表3.3.2 配線子係統纜線長度

圖片11《綜合布線係統工程設計規範》GB50311-2007

  注:①此處沒有設置跳線時,設備纜線的長度不應小於1m。

  ②此處不采用交叉連接時,設備纜線的長度不應小於1m。

  3.3.3 纜線長度計算應符合下列規定:

  1 配線子係統(水平)信道長度應符合下列規定:

  1)配線子係統信道應由鏈路的水平纜線和設備纜線組成,可包括跳線和CP纜線(圖3.3.3-1)。

圖片12《綜合布線係統工程設計規範》GB50311-2007

圖3.3.3-1 配線子係統信道連接方式

  2)配線子係統信道長度計算方法應符合表3.3.3-1規定。

  表3.3.3-1 配線子係統信道長度計算

圖片13《綜合布線係統工程設計規範》GB50311-2007

  注:1 計算公式中:H為水平纜線的大長度(m),F為樓層配線設備(FD)纜線和跳線及工作區設備纜線總長度(m),C為集合點(CP)纜線的長度(m),X為設備纜線和跳線的插入損耗(dB/m)與水平纜線的插入損耗(dB/m)之比,Y為集合點(CP)纜線的插入損耗(dB/m)與水平纜線的插入損耗(dB/m)之比,2和3為餘量,以適應插入損耗值的偏離。

  2 水平電纜的應用長度會受到工作環境溫度的影響。當上作環境溫度超過20℃時,屏蔽電纜長度按每攝氏度減少0.2%計算,對非屏蔽電纜長度則按每攝氏度減少0.4%(20℃~40℃)和每攝氏度減少0.6%(>40℃~60℃)計算。

  2 幹線子係統信道長度應符合下列規定:

  1)幹線子係統信道應包括主幹纜線、跳線和設備纜線(圖3.3.3-2)。

圖片14《綜合布線係統工程設計規範》GB50311-2007

圖3.3.3-2 幹線子係統信道連接方式

  2)幹線子係統信道長度計算方法應符合表3.3.3-2的規定。

3.4 係統應用

  3.4.1 綜合布線係統工程的產品類別及鏈路、信道等的確定應綜合考慮建築物的性質、功能、應用網絡和業務對傳輸帶寬及纜線長度的要求、業務終端的類型、業務的需求及發展、性能價格、現場安裝條件等因素,並應符合表3.4.1的規定。

  表3.4.1 布線係統等與類別的選用

圖片15《綜合布線係統工程設計規範》GB50311-2007

  注:①為建築物其他弱電子係統采用網絡端口傳送數字信息時的應用。

  表3.3.3-2 幹線子係統信道長度計算

圖片16《綜合布線係統工程設計規範》GB50311-2007

  注:1 計算公式中:B為主幹纜線的長度(m),F為設備纜線與跳線總長度(m),X為設備纜線的插入損耗(dB/m)與主幹纜線的插入損耗(dB/m)之比,3為餘量,以適應插入損耗值的偏離。

  2 當信道包含的連接點數與圖3.3.3-2所示不同,當連接點大於或小於6個時,線纜敷設長度應減少或增加。減少與增加纜線長度的原則為:5類電纜,按每個連接點對應2m計;6類、6A類和7類電纜,按每個連接點對應1m計。而且宜對NEXT、RL和ACR-F予以驗證。

  3 主幹電纜(連接FD~BD、BD~BD、FD~CD、BD~CD)的應用長度會受到工作環境溫度的影響。當工作環境的溫度超過20℃時,屏蔽電纜長度按每攝氏度減少0.2%計算,對非屏蔽電纜長度則按每攝氏度減少0.4%(20℃~40℃)和每攝氏度減少0.6%(>40℃~60℃)計算。

  3.4.2 同一布線信道及鏈路的纜線、跳線和連接器件應保持係統等與阻抗的一致性。

  3.4.3 綜合布線係統光纖信道應采用標稱波長為850nm和1300nm的多模光纖(OM1、OM2、OM3、OM4),標稱波長為1310nm和1550nm(OS1),1310nm、1383nm和1550nm(OS2)的單模光纖。

  3.4.4 單模和多模光纜的選用應符合網絡的構成方式、業務的互聯方式、以太網交換機端口類型及網絡規定的光纖應用傳輸距離。在樓內宜采用多模光纜,超過多模光纖支持的應用長度或需直接與電信業務經營者通信設施相連時應采用單模光纜。

  3.4.5 配線設備之間互連的跳線宜選用產業化製造的產品,跳線的類別應符合綜合布線係統的等要求。在應用電話業務時宜選用雙芯對絞電纜。

  3.4.6 工作區信息點為電端口時應采用8位模塊通用插座,光端口應采用SC或LC光纖連接器件及適配器。

  3.4.7 FD、BD、CD配線設備應根據支持的應用、世務、布線的等、產品的性能指標選用,並應符合下列規定:

  1 應用於數據業務時,電纜配線模塊應采用8位模塊通用插座。

  2 應用於語音業務時,FD幹線側及BD、CD處配線模塊應選用卡接式配線模塊(多對、25對卡接式模塊及回線型卡接模塊),FD水平側配線模塊應選用8位模塊通用插座。

  3 光纖配線模塊應采用單工或雙工的SC或LC光纖連接器件及適配器。

  4 主幹光纜的光纖容量較大時,可采用預端接光纖連接器件(MPO)互通。

  3.4.8 CP集合點安裝的連接器件應選用卡接式配線模塊或8位模塊通用插座或各類光纖連接器件和適配器。

  3.4.9 綜合布線係統產品的選用應考慮纜線與器件的類型、規格、尺寸對安裝設計與施工造成的影響。


3.5 屏蔽布線係統

  3.5.1 屏蔽布線係統的選用應符合下列規定:

  1 當綜合布線區域內存在的電磁幹擾場強高於3V/m時,宜采用屏蔽布線係統。

  2 用戶對電磁兼容性有電磁幹擾和防信息泄漏等較高的要求時,或有網絡安全保密的需要時,宜采用屏蔽布線係統。

  3 安裝現場條件無法滿足對絞電纜的間距要求時,宜采用屏蔽布線係統。

  4 當布線環境溫度影響到非屏蔽布線係統的傳輸距離時,宜采用屏蔽布線係統。

  3.5.2 屏蔽布線係統應選用相互適應的屏蔽電纜和連接器件,采用的電纜、連接器件、跳線、設備電纜都應是屏蔽的,並應保持信道屏蔽層的連續性與導通性。


3.6 開放型辦公室布線係統

  3.6.1 對於辦公樓、綜合樓等商用建築物或公共區域大開間的場地,宜按開放型辦公室綜合布線係統要求進行設計。

  3.6.2 采用多用戶信息插座(MUTO)時,每一個多用戶插座宜能支持12個工作區所需的8位模塊通用插座,並宜包括備用量。

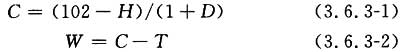
  3.6.3 各段電纜長度應符合表3.6.3的規定,其中,C、W取值應按下列公式進行計算:

圖片17《綜合布線係統工程設計規範》GB50311-2007

  式中:C——工作區設備電纜、電信間跳線及設備電纜的總長度;

  H——水平電纜的長度,(H+C)≤100m;

  T——電信間內跳線和設備電纜長度;

  W——工作區設備電纜的長度;

  D——調整係數,對24號線規D取為0.2,對26號線規D取為0.5。

  表3.6.3 各段電纜長度限值

圖片18《綜合布線係統工程設計規範》GB50311-2007

  3.6.4 采用集合點(CP)時,集合點配線設備與FD之間水平纜線的長度不應小於15m,並應符合下列規定:

  1 集合點配線設備容量宜滿足12個工作區信息點的需求。

  2 同一個水平電纜路由中不應超過一個集合點(CP)。

  3 從集合點引出的CP電纜應終接於工作區的8位模塊通用插座或多用戶信息插座。

  4 從集合點引出的CP光纜應終接於工作區的光纖連接器。

  3.6.5 多用戶信息插座和集合點的配線箱體應安裝於牆體或柱子等建築物固定的位置。


3.7 工業環境布線係統

  3.7.1 在高溫、潮濕、電磁幹擾、撞擊、振動、腐蝕氣體、灰塵等惡劣環境中應采用工業環境布線係統,並應支持語音、數據、圖像、視頻、控製等信息的傳遞。

  3.7.2 工業環境布線係統設置應符合下列規定:

  1 工業連接器件應使用於工業環境中的生產區、辦公區或控製室與生產區之間的交界場所,也可應用於室外環境。

  2 在工業設備較為集中的區域應設置現場配線設備。

  3 工環境中的配線設備應根據環境條件確定防護等。

  3.7.3 工業環境布線係統應由建築群子係統、幹線子係統、配線子係統、中間配線子係統組成(圖3.7.3)。

圖片19《綜合布線係統工程設計規範》GB50311-2007

圖3.7.3 工業環境布線係統架構

  3.7.4 工業環境布線係統的各配線設備之間宜設置備份或互通的路由,並應符合下列規定:

  1 建築群CD與每一個建築物BD之間應設置雙路由,其中1條應為備份路由。

  2 不同的建築物BD與BD、本建築BD與另一棟建築FD之間可設置互通的路由。

  3 本建築物不同樓層FD與FD、本樓層FD與另一樓層ID之間可設置互通路由。

  4 樓層內ID與ID、ID與非本區域的TO之間可設置互通的路由。

  3.7.5 布線信道中含有中間配線子係統時,網絡設備與ID配線模塊之間應采用交叉或互連的連接方式。

  3.7.6 在工程應用中,工業環境的布線係統應山光纖信道和對絞電纜信道構成(圖3.7.6),並應符合下列規定:

圖片20《綜合布線係統工程設計規範》GB50311-2007

圖3.7.6 工業環境布線係統光纖信道與電纜信道構成

  1 中間配線設備ID至工作區TO信息點之間對絞電纜信道應采用符合D、E、EA、F、FA等的5、6、6A、7、7A布線產品。布線等不應低於D。

  2 光纖信道可分為塑料光纖信道OF-25、OF-50、OF-100、OF-200,石英多模光纖信道OF-00、OF-300、OF-500及單模光纖信道OF-2000、OF-5000、OF-10000的信道等。

  3.7.7 中間配線設備ID處跳線與設備纜線的長度應符合表3.7.7的規定。

圖片21《綜合布線係統工程設計規範》GB50311-2007

  注:①此處沒有設置跳線時,設備纜線的長度不應小於1m。

  3.7.8 工業環境布線係統中間配線子係統設計應符合下列規定:

  1 中間配線子係統信道應包括水平纜線、跳線和設備纜線(圖3.7.8)。

圖片22《綜合布線係統工程設計規範》GB50311-2007

圖3.7.8 中間配線子係統構成

  2 中間配線子係統鏈路長度計算應符合表3.7.8的規定。

  表3.7.8 中間配線子係統鏈路長度計算

圖片23《綜合布線係統工程設計規範》GB50311-2007

  注:1 計算公式中:H為中間配線子係統電纜的長度(m);F為工作區設備纜線及ID處的設備纜線與跳線總長度(m);X為設備纜線的插入損耗(dB/m)與水平纜線的插入損耗(dB/m)之比;3為餘量,以適應插入損耗值的偏離。

  2 H的應用長度會受到工作環境溫度的影響。當工作環境溫度超過20℃時,屏蔽電纜長度按每攝氏度減少0.2%計算,非屏蔽電纜長度則按每攝氏度減少0.4%(20℃~40℃)和每攝氏度減少0.6%(>40℃~60℃)計算。

  3 中間配線子係統信道長度不應大於100m;中間配線子係統鏈路長度不應大於90m;設備電纜和跳線的總長度不應大於10m,大於10m時中間配線子係統水平纜線的長度應適當減少;跳線的長度不應大於5m。

  3.7.9 工業環境布線係統幹線子係統設計應符合下列規定:

  1 幹線子係統信道連接方式及鏈路長度計算應符合本規範第3.3.3條第2款的規定。

  2 對絞電纜的幹線子係統可采用D、E、EA、F、FA的布線等。幹線子係統信道長度不應大於100m,存在4個連接點時長度不應小於15m。

  3 光纖信道的等及長度應符合表3.7.9的規定。

  表3.7.9 光纖信道長度

圖片24《綜合布線係統工程設計規範》GB50311-2007


3.8 綜合布線在弱電係統中的應用

  3.8.1 綜合布線係統應支持具有TCP/IP通信協議的視頻安防監控係統、出入口控製係統、停車庫(場)管理係統、訪客對講係統、智能卡應用係統,建築設備管理係統、能耗計量及數據遠傳係統、公共廣播係統、信息導引(標識)及發布係統等弱電係統的信息傳輸。

  3.8.2 綜合布線係統支持弱電各子係統應用時,應滿足各子係統提出的下列條件:

  1 傳輸帶寬與傳輸速率;

  2 纜線的應用傳輸距離;

  3 設備的接口類型;

  4 屏蔽與非屏蔽電纜及光纜布線係統的選擇條件;

  5 以太網供電(POE)的供電方式及供電線對實際承載的電流與功耗;

  6 各弱電子係統設備安裝的位置、場地麵積和工藝要求。


4光纖到用戶單元通信設施

4.1 一般規定

  4.1.1 在公用電信網絡已實現光纖傳輸的地區,建築物內設置用戶單元時,通信設施工程必須采用光纖到用戶單元的方式建設。

  4.1.2 光纖到用戶單元通信設施工程的設計必須滿足多家電信業務經營者平等接入、用戶單元內的通信業務使用者可自由選擇電信業務經營者的要求。

  4.1.3 新建光纖到用戶單元通信設施工程的地下通信管道、配線管網、電信間、設備間等通信設施,必須與建築工程同步建設。

  4.1.4 用戶接入點應是光纖到用戶單元工程特定的一個邏輯點,設置應符合下列規定:

  1 每一個光纖配線區應設置一個用戶接入點;

  2 用戶光纜和配線光纜應在用戶接入點進行互聯;

  3 隻有在用戶接入點處可進行配線管理;

  4 用戶接入點處可設置光分路器。

  4.1.5 通信設施工程建設應以用戶接入點為界麵,電信業務經營者和建築物建設方各自承擔相關的工程量。工程實施應符合下列規定:

  1 規劃紅線範圍內建築群通信管道及建築物內的配線管網應由建築物建設方負責建設。

  2 建築群及建築物內通信設施的安裝空間及房屋(設備間)應由建築物建設方負責提供。

  3 用戶接入點設置的配線設備建設分工應符合下列規定:

  1)電信業務經營者和建築物建設方共用配線箱時,由建設方提供箱體並安裝,箱體內連接配線光纜的配線模塊應由電信業務經營者提供並安裝,連接用戶光纜的配線模塊應由建築物建設方提供並安裝;

  2)電信業務經營者和建築物建設方分別設置配線櫃時,應各自負責機櫃及機櫃內光纖配線模塊的安裝。

  4 配線光纜應由電信業務經營者負責建設,用戶光纜應由建築物建設方負責建設,光跳線應由電信業務經營者安裝。

  5 光分路器及光網絡單元應由電信業務經營者提供。

  6 用戶單元信息配線箱及光纖適配器應由建築物建設方負責建設。

  7 用戶單元區域內的配線設備、信息插座、用戶纜線應由單元內的用戶或房屋建設方負責建設。

  4.1.6 地下通信管道的設計應與建築群及園區其他設施的地下管線進行整體布局,並應符合下列規定:

  1 應與光交接箱引上管相銜接。

  2 應與公用通信網管道互通的人(手)孔相銜接。

  3 應與電力管、熱力管、燃氣管、給排水管保持安全的距離。

  4 應避開易受到強烈震動的地段。

  5 應敷設在良好的地基上。

  6 路由宜以建築群設備間為向外輻射,應選擇在人行道、人行道旁綠化帶或車行道下。

  7 地下通信管道的設計應符合現行標準《通信管道與通道工程設計規範》GB 50373的有關規定。


4.2 用戶接入點設置

  4.2.1 每一個光纖配線區所轄用戶數量宜為70個~300個用戶單元。

  4.2.2 光纖用戶接入點的設置地點應依據不同類型的建築形成的配線區以及所轄的用戶密度和數量確定,並應符合下列規定:

  1 當單棟建築物作為1個獨立配線區時,用戶接入點應設於本建築物綜合布線係統設備間或通信機房內,但電信業務經營者應有獨立的設備安裝空間(圖4.2.2-1)。

圖片25《綜合布線係統工程設計規範》GB50311-2007

圖4.2.2-1 用戶接入點設於單棟建築物內設備間

  2 當大型建築物或超高層建築物劃分為多個光纖配線區時,用戶接入點應按照用戶單元的分布情況均勻地設於建築物不同區域的樓層設備間內(圖4.2.2-2)。

圖片26《綜合布線係統工程設計規範》GB50311-2007

圖4.2.2-2 用戶接入點設於建築物樓層區域共用設備間

  3 當多棟建築物形成的建築群組成1個配線區時,用戶接入點應設於建築群物業管理機房、綜合布線設備間或通信機房內,但電信業務經營者應有獨立的設備安裝空間(圖4.2.2-3)。

圖片27《綜合布線係統工程設計規範》GB50311-2007

圖4.2.2-3 用戶接入點設於建築群物業管理機房或綜合布線設備間或通信機房

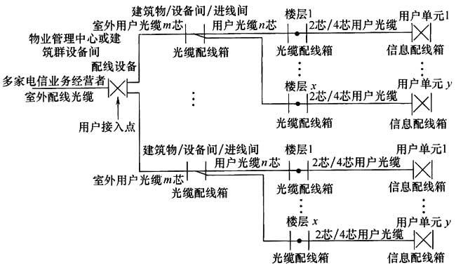
  4 每一棟建築物形成的1個光纖配線區並且用戶單元數量不大於30個(高配置)或70個(低配置)時,用戶接入點應設於建築物的進線間或綜合布線設備間或通信機房內,用戶接入點應采用設置共用光纜配線箱的方式,但電信業務經營者應有獨立的設備安裝空間(圖4.2.2-4)。


4.3 配置原則

  4.3.1 建築紅線範圍內敷設配線光纜所需的室外通信管道管孔與室內管槽的容量、用戶接入點處預留的配線設備安裝空間及設備間的麵積均應滿足不少於3家電信業務經營者通信業務接入的需要。

圖片28《綜合布線係統工程設計規範》GB50311-2007

圖4.2.2-4 用戶接入點設於進線間或綜合布線設備間或通信機房

  4.3.2 光纖到用戶單元所需的室外通信管道與室內配線管網的導管與槽盒應單獨設置,管槽的總容量與類型應根據光纜敷設方式及終期容量確定,並應符合下列規定:

  1 地下通信管道的管孔應根據敷設的光纜種類及數量選用,宜選用單孔管、單孔管內穿放子管及柵格式塑料管。

  2 每一條光纜應單獨占用多孔管中的一個管孔或單孔管內的一個子管。

  3 地下通信管道宜預留不少於3個備用管孔。

  4 配線管網導管與槽盒尺寸應滿足敷設的配線光纜與用戶光纜數量及管槽利用率的要求。

  4.3.3 用戶光纜采用的類型與光纖芯數應根據光纜敷設的位置、方式及所轄用戶數計算,並應符合下列規定:

  1 用戶接入點至用戶單元信息配線箱的光纜光纖芯數應根據用戶單元用戶對通信業務的需求及配置等確定,配置應符合表4.3.3的規定。

  表4.3.3 光纖與光纜配置

圖片29《綜合布線係統工程設計規範》GB50311-2007

  2 樓層光纜配線箱至用戶單元信息配線箱之間應采用2芯光纜。

  3 用戶接入點配線設備至樓層光纜配線箱之間應采用單根多芯光纜,光纖容量應滿足用戶光纜總容量需要,並應根據光纜的規格預留不少於10%的餘量。

  4.3.4 用戶接入點外側光纖模塊類型與容量應按引入建築物的配線光纜的類型及光纜的光纖芯數配置。

  4.3.5 用戶接入點用戶側光纖模塊類型與容量應按用戶光纜的類型及光纜的光纖芯數的50%或工程實際需要配置。

  4.3.6 設備間麵積不應小於10m2。

  4.3.7 每一個用戶單元區域內應設置1個信息配線箱,並應安裝在柱子或承重牆上不被變更的建築物部位。


4.4 纜線與配線設備的選擇

  4.4.1 光纜光纖選擇應符合下列規定:

  1 用戶接入點至樓層光纖配線箱(分紆箱)之間的室內用戶光纜應采用G.652光纖。

  2 樓層光纜配線箱(分纖箱)至用戶單元信息配線箱之間的室內用戶光纜應采用G.657光纖。

  4.4.2 室內外光纜選擇應符合下列規定:

  1 室內光纜宜采用幹式、非延燃外護層結構的光纜。

  2 室外管道至室內的光纜宜采用幹式、防潮層、非延燃外護層結構的室內外用光纜。

  4.4.3 光纖連接器件宜采用SC和LC類型。

  4.4.4 用戶接入點應采用機櫃或共用光纜配線箱,配置應符合下列規定:

  1 機櫃宜采用600mm或800mm寬的19″標準機櫃。

  2 共用光纜配線箱體應滿足不少於144芯光纖的終接。

  4.4.5 用戶單元信息配線箱的配置應符合下列規定:

  1 配線箱應根據用戶單元區域內信息點數量、引入纜線類型、纜線數量、業務功能需求選用。

  2 配線箱箱體尺寸應充分滿足各種信息通信設備擺放、配線模塊安裝、光纜終接與盤留、跳線連接、電源設備和接地端子板安裝以及業務應用發展的需要。

  3 配線箱的選用和安裝位置應滿足室內用戶無線信號覆蓋的需求。

  4 當超過50V的交流電壓接入箱體內電源插座時,應采取強弱電安全隔離措施。

  5 配線箱內應設置接地端子板,並應與樓層局部等電位端子板連接。


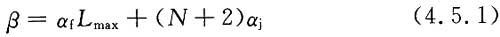
4.5 傳輸指標

  4.5.1 用戶接入點用戶側配線設備至用戶單元信息配線箱的光纖鏈路全程衰減限值可按下式計算:

圖片30《綜合布線係統工程設計規範》GB50311-2007

  式中:β——用戶接入點用戶側配線設備至用戶單元信息配線箱光纖鏈路衰減(dB);

  αf——光纖衰減常數(dB/km),在1310nm波長窗口時,采用G.652光纖時為0.36dB/km,采用G.657光纖時為0.38dB/km~0.4dB/km;

  Lmax——用戶接入點用戶側配線設備至用戶單元信息配線箱光纖鏈路大長度(km);

  N——用戶接入點用戶側配線設備至用戶單元信息配線箱光纖鏈路中熔接的接頭數量;

  2——光纖鏈路光纖終接數(用戶光纜兩端);

  αj——光纖接頭損耗係數,采用熱熔接方式時為0.06dB/個,采用冷接方式時為0.1dB/個。

5係統配置設計

5.1 工作區

  5.1.1 工作區適配器的選用應符合下列規定:

  1 設備的連接插座應與連接電纜的插頭匹配,不同的插座與插頭之間互通時應加裝適配器。

  2 在連接使用信號的數模轉換、光電轉換、數據傳輸速率轉換等相應的裝置時,應采用適配器。

  3 對於網絡規程的兼容,應采用協議轉換適配器。

  4 各種不同的終端設備或適配器均應安裝在工作區的適當位置,並應考慮現場的電源與接地。

  5.1.2 每個工作區的服務麵積應按不同的應用功能確定。

5.2 配線子係統

  5.2.1 配線子係統應根據工程提出的近期和遠期終端設備的設置要求、用戶性質、網絡構成及實際需要確定建築物各層需要安裝信息插座模塊的數量及其位置,配線應留有發展餘地。

  5.2.2 配線子係統水平纜線采用的非屏蔽或屏蔽4對對絞電纜、室內光纜應與各工作區光、電信息插座類型相適應。

  5.2.3 電信間FD(設備間BD、進線間CD)處,通信纜線和計算機網絡設備與配線設備之間的連接方式應符合下列規定:

  1 在FD、BD、CD處,電話交換係統配線設備模塊之間宜采用跳線互連(圖5.2.3 -1)。

  2 計算機網絡設備與配線設備的連接方式應符合下列規定:

  1)在FD、BD、CD處,計算機網絡設備與配線設備模塊之間宜經跳線交叉連接(圖5.2.3-2)。

圖片31《綜合布線係統工程設計規範》GB50311-2007

圖5.2.3-1 電話交換係統中纜線與配線設備間連接方式

圖片32《綜合布線係統工程設計規範》GB50311-2007

圖5.2.3-2 交叉連接方式

  2)在FD、BD、CD處,計算機網絡設備與配線設備模塊之間可經設備纜線互連(圖5.2.3-3)。

圖片33《綜合布線係統工程設計規範》GB50311-2007

圖5.2.3-3 互連方式

  5.2.4 每一個工作區信息插座模塊數量不宜少於2個,並應滿足各種業務的需求。

  5.2.5 底盒數量應由插座盒麵板設置的開口數確定,並應符合下列規定:

  1 每一個底盒支持安裝的信息點(RJ45模塊或光纖適配器)數量不宜大於2個。

  2 光纖信息插座模塊安裝的底盒大小與深度應充分考慮到水平光纜(2芯或4芯)終接處的光纜預留長度的盤留空間和滿足光纜對彎曲半徑的要求。

  3 信息插座底盒不應作為過線盒使用。

  5.2.6 工作區的信息插座模塊應支持不同的終端設備接入,每一個8位模塊通用插座應連接1根4對對絞電纜;每一個雙工或2個單工光纖連接器件及適配器應連接1根2芯光纜。

  5.2.7 從電信間至每一個工作區的水平光纜宜按2芯光纜配置。至用戶群或大客戶使用的工作區域時,備份光纖芯數不應小於2芯,水平光纜宜按4芯或2根2芯光纜配置。

  5.2.8 連接至電信間的每一根水平纜線均應終接於FD處相應的配線模塊,配線模塊與纜線容量相適應。

  5.2.9 電信間FD主幹側各類配線模塊應根據主幹纜線所需容量要求、管理方式及模塊類型和規格進行配置。

  5.2.10 電信間FD采用的設備纜線和各類跳線宜根據計算機網絡設備的使用端口容量和電話交換係統的實裝容量、業務的實際需求或信息點總數的比例進行配置,比例範圍宜為25%~50%。


5.3 幹線子係統

  5.3.1 幹線子係統所需要的對絞電纜根數、大對數電纜總對數及光纜光纖總芯數,應滿足工程的實際需求與纜線的規格,並應留有備份容量。

  5.3.2 幹線子係統主幹纜線宜設置電纜或光纜備份及電纜與光纜互為備份的路由。

  5.3.3 當電話交換機和計算機設備設置在建築物內不同的設備間時,宜采用不同的主幹纜線來分別滿足語音和數據的需要。

  5.3.4 在建築物若幹設備間之間,設備間與進線間及同一層或各層電信間之間宜設置幹線路由。

  5.3.5 主幹電纜和光纜所需的容量要求及配置應符合下列規定:

  1 對語音業務,大對數主幹電纜的對數應按每1個電話8位模塊通用插座配置1對線,並應在總需求線對的基礎上預留不小於10%的備用線對。

  2 對數據業務,應按每台以太網交換機設置1個主幹端口和1個備份端口配置。當主幹端口為電接口時,應按4對線對容量配置,當主幹端口為光端口時,應按1芯或2芯光纖容量配置。

  3 當工作區至電信間的水平光纜需延伸至設備間的光配線設備(BD/CD)時,主幹光纜的容量應包括所延伸的水平光纜光纖的容量。

  4 建築物配線設備處各類設備纜線和跳線的配置應符合本規範第5.2.10條的規定。

  5.3.6 設備間配線設備(BD)所需的容量要求及配置應符合下列規定:

  1 主幹纜線側的配線設備容量應與主幹纜線的容量相一致。

  2 設備側的配線設備容量應與設備應用的光、電主幹端口容量相一致或與幹線側配線設備容量相同。

  3 外線側的配線設備容量應滿足引入纜線的容量需求。


5.4 建築群子係統

  5.4.1 建築群配線設備(CD)內線側的容量應與各建築物引入的建築群主幹纜線容量一致。

  5.4.2 建築群配線設備(CD)外線側的容量應與建築群外部引入的纜線的容量一致。

  5.4.3 建築群配線設備各類設備纜線和跳線的配置應符合本規範第5.2.10條的規定。


5.5 入口設施

  5.5.1 建築群主幹電纜和光纜、公用網和專用網電纜、光纜等室外纜線進入建築物時,應在進線間由器件成端轉換成室內電纜、光纜。纜線的終接處設置的入口設施外線側配線模塊應按出入的電、光纜容量配置。

  5.5.2 綜合布線係統和電信業務經營者設置的入口設施內線側配線模塊應與建築物配線設備(BD)或建築群配線設備(CD)之間敷設的纜線類型和容量相匹配。

  5.5.3 進線間的纜線引入管道管孔數量應滿足建築物之間、外部接入各類信息通信業務、建築智能化業務及多家電信業務經營者纜線接入的需求,並應留有不少於4孔的餘量。


5.6 管理係統

  5.6.1 對設備間、電信間、進線間和工作區的配線設備、纜線、信息點等設施,應按一定的模式進行標識和記錄,並應符合下列規定:

  1 綜合布線係統工程宜采用計算機進行文檔記錄與保存,簡單且規模較小的綜合布線係統工程可按圖紙資料等紙質文檔進行管理。文檔應做到記錄準確、及時更新、便於查閱,文檔資料應實現漢化。

  2 綜合布線的每一電纜、光纜、配線設備、終接點、接地裝置、管線等組成部分均應給定的標識符,並應設置標簽。標識符應采用統一數量的字母和數字等標明。

  3 電纜和光纜的兩端均應標明相同的標識符。

  4 設備間、電信間、進線間的配線設備宜采用統一的色標區別各類業務與用途的配線區。

  5 綜合布線係統工程應製訂係統測試的記錄文檔內容。

  5.6.2 所有標簽應保持清晰,並應滿足使用環境要求。

  5.6.3 綜合布線係統工程規模較大以及用戶有提高布線係統維護水平和網絡安全的需要時,宜采用智能配線係統對配線設備的端口進行實時管理,顯示和記錄配線設備的連接、使用及變更狀況。並應具備下列基本功能:

  1 實時智能管理與監測布線跳線連接通斷及端口變更狀態;

  2 以圖形化顯示為界麵,瀏覽所有被管理的布線部位;

  3 管理軟件提供數據庫檢索功能;

  4 用戶遠程登錄對係統進行遠程管理;

  5 管理軟件對非授權操作或鏈路意外中斷提供實時報警。

  5.6.4 綜合布線係統相關設施的工作狀態信息應包括設備和纜線的用途、使用部門、組成局域網的拓撲結構、傳輸信息速率、終端設備配置狀況、占用器件編號、色標、鏈路與信道的功能和各項主要指標參數及完好狀況、故障記錄等信息,還應包括設備位置和纜線走向等內容。

6性能指標

6.1 纜線與連接器件性能指標

  6.1.1 D、E、F的對絞電纜布線信道器件的標稱阻抗應為100Ω,A、B、C可為100Ω或120Ω。

  6.1.2 對絞電纜基本電氣特性應符合下列規定:

  1 信道每個線對中的兩個導體之間的d.c.環路電阻不平衡度對所有類別不應超過3%。

  2 電纜在所有的溫度下應用時,D、E、EA、F、FA信道每一導體小載流量應為0.175A(d.c.)。

  3 布線係統在工作環境溫度下,D、E、EA、F、FA信道應支持任意導體之間72V(d.c.)的工作電壓。

  4 布線係統在工作環境溫度下,D、E、EA、F、FA信道每個線對應支持承載10W的功率。

  5 對絞電纜的性能指標參數應包括衰減、等電平遠端串音衰減、等電平遠端串音衰減功率和、衰減遠端串音比、衰減遠端串音比功率和、耦合衰減、轉移阻抗、不平衡衰減(近端)、近端串音功率和、外部串音(EA、FA)。

  6 2m、5m對絞電纜跳線的指標參數值應包括回波損耗、近端串音。

  6.1.3 對絞電纜連接器件基本電氣特性應符合下列規定:

  1 配線設備模塊工作環境的溫度應為—10℃~+60℃。

  2 應具有的標記或顏色。

  3 連接器件應支持0.4mm~0.8mm線徑導體的連接。

  4 連接器件的插拔率不應小於500次。

  5 器件連接應符合下列規定:

  1)RJ45 8位模塊通用插座可按568A或568B的方式進行連接(圖6.1.3-1)。

圖片37《綜合布線係統工程設計規範》GB50311-2007

圖6.1.3-1 8位模塊式通用插座連接

  注:G(Green)-綠;BL(Blue)-藍;BR(Brown)-棕;W(White)-白;0(Orange)-橙

  2)4對對絞電纜與非RJ45模塊終接時,應按線序號和組成的線對進行卡接(圖6.1.3-2、圖6.1.3-3)。

圖片38《綜合布線係統工程設計規範》GB50311-2007

  6 連接器件的性能指標參數應包括回波損耗、插入損耗、近端串音、近端串音功率和、遠端串音、遠端串音功率和、輸入阻抗、不平衡輸入阻抗、載流量、時延、時延偏差、橫向轉換損耗、橫向轉換轉移損耗、耦合衰減(屏蔽布線)、轉移阻抗(屏蔽布線)、絕緣電阻、外部近端串音功率和、外部遠端串音功率和。


6.2 係統性能指標

  6.2.1 劃絞電纜布線係統鏈路、CP鏈路及信道的回波損耗、插入損耗、近端串音、近端串音功率和、衰減遠端串音比、衰減遠端串音比功率和、衰減近端串音比、衰減近端串音比功率和、直流環路電阻、時延、時延偏差、外部近端串音功率和、外部遠端串音比功率和等性能指標參數的規定值應符合本規範附錄A的規定。

  6.2.2 在工程的安裝設計中應考慮綜合布線係統產品的纜線結構、直徑、材料、承受拉力、彎曲半徑等機械性能指標。

  6.2.3 光纖布線係統OF-300、OF-500、OF-2000各等的光纖信道衰減值應符合本規範附錄A的規定。

  6.2.4 工業環境布線係統性能指標應符合下列規定:

  1 電纜布線係統的性能指標應包括回波衰耗、插入損耗、近端串音、近端串音功率和、衰減串音比、衰減串音比功率和、等電平遠端串音衰減、等電平遠端串音衰減功率和、傳播時延、時延偏差、直流環路電阻、長度、連接正確性、導通性能。

  2 光纖布線係統的性能指標應包括光衰耗、模式帶寬、傳播時延、長度、連接性。

  6.2.5 對絞電纜布線係統應用在工業以太網、POE及高速信道的情況下,還應考慮橫向轉換損耗、兩端等效橫向轉換損耗、不平衡電阻、耦合衰減等屏蔽特性指標。

7安裝工藝要求


7.1 工作區

  7.1.1 工作區信息插座的安裝應符合下列規定:

  1 暗裝在地麵上的信息插座盒應滿足防水和抗壓要求。

  2 工業環境中的信息插座可帶有保護殼體。

  3 暗裝或明裝在牆體或柱子上的信息插座盒底距地高度宜為300mm。

  4 安裝在工作台側隔板麵及臨近牆麵上的信息插座盒底距地宜為1.0m。

  5 信息插座模塊宜采用標準86係列麵板安裝,安裝光纖模塊的底盒深度不應小於60mm。

  7.1.2 工作區的電源應符合下列規定:

  1 每個工作區宜配置不少於2個單相交流220V/10A電源插座盒。

  2 電源插座應選用帶保護接地的單相電源插座。

  3 工作區電源插座宜嵌牆暗裝,高度應與信息插座一致。

  7.1.3 CP集合點箱體、多用戶信息插座箱體宜安裝在導管的引入側及便於維護的柱子及承重牆上等處,箱體底邊距地高度宜為500mm,當在牆體、柱子的上部或吊頂內安裝時,距地高度不宜小於1800mm。

  7.1.4 每個用戶單元信息配線箱附近水平70mm~150mm處,宜預留設置2個單相交流220V/10A電源插座,並應符合下列規定:

  1 每個電源插座的配電線路均應裝設保護電器,電源插座宜嵌牆暗裝,底部距地高度應與信息配線箱一致。

  2 用戶單元信息配線箱內應引入單相交流220V電源。


7.2 電信間

  7.2.1 電信間的設計應符合下列規定:

  1 電信間數量應按所服務樓層麵積及工作區信息點密度與數量確定。

  2 同樓層信息點數量不大於400個時,宜設置1個電信間;當樓層信息點數量大於400個時,宜設置2個及以上電信間。

  3 樓層信息點數量較少,且水平纜線長度在90m範圍內時,可多個樓層合設一個電信間。

  7.2.2 當有信息安全等特殊要求時,應將所有涉密的信息通信網絡設備和布線係統設備等進行空間物理隔離或獨立安放在專用的電信間內,並應設置獨立的涉密機櫃及布線管槽。

  7.2.3 電信間內,信息通信網絡係統設備及布線係統設備宜與弱電係統布線設備分設在不同的機櫃內。當各設備容量配置較少時,亦可在同一機櫃內作空間物理隔離後安裝。

  7.2.4 各樓層電信間、豎向纜線管槽及對應的豎井宜上下對齊。

  7.2.5 電信間內不應設置與安裝的設備無關的水、風管及低壓配電纜線管槽與豎井。

  7.2.6 根據工程中配線設備與以太網交換機設備的數量、機櫃的尺寸及布置,電信間的使用麵積不應小於5m2。當電信間內需設置其他通信設施和弱電係統設備箱櫃或弱電豎井時,應增加使用麵積。

  7.2.7 電信間室內溫度應保持在10℃~35℃,相對濕度應保持在20%~80%之間。當房間內安裝有源設備時,應采取滿足信息通信設備可靠運行要求的對應措施。

  7.2.8 電信間應采用外開防火門,房門的防火等應按建築物等類別設定。房門的高度不應小於2.0m,淨寬不應小於0.9m。

  7.2.9 電信間內梁下淨高不應小於2.5m。

  7.2.10 電信間的水泥地麵應高出本層地麵不小於100mm或設置防水門檻。室內地麵應具有防潮、防塵、防靜電等措施。

  7.2.11 電信間應設置不少於2個單相交流220V/10A電源插座盒,每個電源插座的配電線路均應裝設保護器。設備供電電源應另行配置。


7.3 設備間

  7.3.1 設備間設置的位置應根據設備的數量、規模、網絡構成等因素綜合考慮。

  7.3.2 每棟建築物內應設置不小於1個設備間,並應符合下列規定:

  1 當電話交換機與計算機網絡設備分別安裝在不同的場地、有安全要求或有不同業務應用需要時,可設置2個或2個以上配線專用的設備間。

  2 當綜合布線係統設備間與建築內信息接入機房、信息網絡機房、用戶電話交換機房、智能化總控室等合設時,房屋使用空間應作分隔。

  7.3.3 設備間內的空間應滿足布線係統配線設備的安裝需要,其使用麵積不應小於10m2。當設備間內需安裝其他信息通信係統設備機櫃或光纖到用戶單元通信設施機櫃時,應增加使用麵積。

  7.3.4 設備間的設計應符合下列規定:

  1 設備間宜處於幹線子係統的中間位置,並應考慮主幹纜線的傳輸距離、敷設路由與數量。

  2 設備間宜靠近建築物布放主幹纜線的豎井位置。

  3 設備間宜設置在建築物的首層或樓上層。當地下室為多層時,也可設置在地下一層。

  4 設備間應遠離供電變壓器、發動機和發電機、X射線設備、無線射頻或雷達發射機等設備以及有電磁幹擾源存在的場所。

  5 設備間應遠離粉塵、油煙、有害氣體以及存有腐蝕性、易燃、易爆物品的場所。

  6 設備間不應設置在廁所、浴室或其他潮濕、易積水區域的正下方或毗鄰場所。

  7 設備間室內溫度應保持在10℃~35℃,相對濕度應保持在20%~80%之間,並應有良好的通風。當室內安裝有源的信息通信網絡設備時,應采取滿足設備可靠運行要求的對應措施。

  8 設備間內梁下淨高不應小於2.5m。

  9 設備間應采用外開雙扇防火門。房門淨高不應小於2.0m,淨寬不應小於1.5m。

  10 設備間的水泥地麵應高出本層地麵不小於100mm或設置防水門檻。

  11 室內地麵應具有防潮措施。

  7.3.5 設備間應防止有害氣體侵入,並應有良好的防塵措施,塵埃含量限值宜符合表7.3.5的規定。

圖片39《綜合布線係統工程設計規範》GB50311-2007

  7.3.6 設備間應設置不少於2個單相交流220V/10A電源插座盒,每個電源插座的配電線路均應裝設保護器。設備供電電源應另行配置。


7.4 進線間

  7.4.1 進線間內應設置管道入口,入口的尺寸應滿足不少於3家電信業務經營者通信業務接入及建築群布線係統和其他弱電子係統的引入管道管孔容量的需求。

  7.4.2 在單棟建築物或由連體的多棟建築物構成的建築群體內應設置不少於1個進線間。

  7.4.3 進線間應滿足室外引入纜線的敷設與成端位置及數量、纜線的盤長空間和纜線的彎曲半徑等要求,並應提供安裝綜合布線係統及不少於3家電信業務經營者入口設施的使用空間及麵積。進線間麵積不宜小於10m2。

  7.4.4 進線間宜設置在建築物地下一層臨近外牆、便於管線引入的位置,其設計應符合下列規定:

  1 管道入口位置應與引入管道高度相對應。

  2 進線間應防止滲水,宜在室內設置排水地溝並與附近設有抽排水裝置的集水坑相連。

  3 進線間應與電信業務經營者的通信機房,建築物內配線係統設備間、信息接入機房、信息網絡機房、用戶電話交換機房、智能化總控室等及垂直弱電豎井之間設置互通的管槽。

  4 進線間應采用相應防火別的外開防火門,門淨高不應小於2.0m,淨寬不應小於0.9m。

  5 進線間宜采用軸流式通風機通風,排風量應按每小時不小於5次換氣次數計算。

  7.4.5 與進線間安裝的設備無關的管道不應在室內通過。

  7.4.6 進線間安裝信息通信係統設施應符合設備安裝設計的要求。

  7.4.7 綜合布線係統進線間不應與數據使用的進線間合設,建築物內各進線間之間應設置互通的管槽。

  7.4.8 進線間應設置不少於2個單相交流220V/10A電源插座盒,每個電源插座的配電線路均應裝設保護器。設備供電電源應另行配置。


7.5 導管與橋架安裝

  7.5.1 布線導管或橋架的材質、性能、規格以及安裝方式的選擇應考慮敷設場所的溫度、濕度、腐蝕性、汙染以及自身耐水性、耐火性、承重、抗撓、抗衝擊等因素對布線的影響,並應符合安裝要求。

  7.5.2 纜線敷設在建築物的吊頂內時,應采用金屬導管或槽盒。

  7.5.3 布線導管或槽盒在穿越防火分區樓板、牆壁、天花板、隔牆等建築構件時,其空隙或空閑的部位應按等同於建築構件耐火等的規定封堵。塑料導管或槽盒及附件的材質應符合相應阻燃等的要求。

  7.5.4 布線導管或橋架在穿越建築結構伸縮縫、沉降縫、抗震縫時,應采取補償措施。

  7.5.5 布線導管或槽盒暗敷設於樓板時不應穿越機電設備基礎。

  7.5.6 暗敷設在鋼筋混凝土現澆樓板內的布線導管或槽盒大外徑宜為樓板厚的1/4~1/3。

  7.5.7 建築物室外引入管道設計應符合建築結構地下室外牆的防水要求。引入管道應采用熱浸鍍鋅厚壁鋼管,外徑50mm~63.5mm鋼管的壁厚度不應小於3mm,外徑76mm~114mm鋼管的壁厚度不應小於4mm。

  7.5.8 建築物內采用導管敷設纜線時,導管選用應符合下列規定:

  1 線路明敷設時,應采用金屬管、可撓金屬電氣導管保護。

  2 建築物內暗敷設時,應采用金屬管、可彎曲金屬電氣導管等保護。

  3 導管在地下室各層樓板或潮濕場所敷設時,不應采用壁厚小於2.0mm的熱鍍鋅鋼管或重型包塑可彎曲金屬導管。

  4 導管在二層底板及以上各層鋼筋混凝土樓板和牆體內敷設時,可采用壁厚不小於1.5mm的熱鍍鋅鋼導管或可彎曲金屬導管。

  5 在多層建築磚牆或混凝土牆內豎向暗敷導管時,導管外徑不應大於50mm。

  6 由樓層水平金屬槽盒引入每個用戶單元信息配線箱或過路箱的導管,宜采用外徑20mm~25mm鋼導管。

  7 樓層弱電間(電信間)或弱電豎井內鋼筋混凝土樓板上,應按豎向導管的根數及規格預留樓板孔洞或預埋外徑不小於89mm的豎向金屬套管群。

  8 導管的連接宜采用專用附件。

  7.5.9 槽盒的直線連接、轉角、分支及終端處宜采用專用附件連接。

  7.5.10 在明裝槽盒的路由中設置吊架或支架,宜設置在下列位置:

  1 直線段不大於3m及接頭處;

  2 首尾端及進出接線盒0.5m處;

  3 轉角處。

  7.5.11 布線路由中每根暗管的轉彎角不應多於2個,且彎曲角度應大於90°。

  7.5.12 過線盒宜設置於導管或槽盒的直線部分,並宜設置在下列位置:

  1 槽盒或導管的直線路由每30m處;

  2 有1個轉彎,導管長度大於20m時;

  3 有2個轉彎,導管長度不超過15m時;

  4 路由中有反向(U形)彎曲的位置。

  7.5.13 導管管口伸出地麵部分應為25mm~50mm。


7.6 纜線布放

  7.6.1 建築物內纜線的敷設方式應根據建築物構造、環境特征、使用要求、需求分布以及所選用導體與纜線的類型、外形尺寸及結構等因素綜合確定,並應符合下列規定:


  因篇幅有限請到資料下載   下載完整文件。

  還可以了解更多關於會議室解決方案、產品和案例 等信息。

  還可以了解更多關於在线免费观看羞羞视频場館解決方案、產品和案例 等信息。

  還可以了解更多關於劇場成人羞羞国产视频解決方案、產品和案例 等信息。

  還可以了解更多關於學校教育   解決方案、產品和案例   等信息。

羞羞APP大全資質 / ZOBO QUALIFICATION

羞羞APP大全營業執照 高新技術企業證書 中關村高新技術企業

(已獲得33項資質認證,包括5項國際認證、4項國家認證、24項行業資格認證書) 查看全部資質

項目實施能力 / PROJECT IMPLEMENTATION CAPACITY

項目技術工程師項目技術工程師

建設工程師建設工程師

工程師工程師

關聯案例 RELEVANT CASES

方案概述:
【查看詳情】

相關產品RELATED PRODUCTS

網站地圖